Formule Exponentielle - Fonction Exponentielle Et Constante E : Comme , la fonction exponentielle est strictement croissante.. Pour tous réels x et y, on a : La fonction exponentielle est une fonction de référence qu'il faut absolument maîtriser car on la retrouve dans de nombreux domaines et de nombreux chapitres !! Ii) loi exponentielle 1) définition soit λ un réel strictement positif. 3) k étant réel, toute fonction du type : L'image d'un réel x par la fonction exponentielle est noté.

Lien exponentielle et logarithme la fonction exponentielle (de base e) et la fonction logarithme (népérien) sont des fonctions réciproques : En analyse réelle, l'exponentielle de base a est la fonction notée exp a qui, à tout réel x, associe le réel a x.elle n'a de sens que pour un réel a strictement positif. Remarque la fonction exponentielle est donc caractérisée par les deux propriétés exp(0) ˘ 1 et exp0 ˘ exp. 3) limites en l'infini propriété : Définition de la fonction exponentielle théorème et définition il existe une unique fonction fff dérivable sur r\\mathbb{r}r telle que f′=ff^{\\prime}=ff ′ =f et f(0)=1f\\left(0\\right)=1f(0)=1 cette fonction est appelée fonction exponentielle (de base e) et notée exp\\text{exp}exp.

Maths Ts Fonction Exponentielle For Android Apk Download
Maths Ts Fonction Exponentielle For Android Apk Download from image.winudf.com
It is commonly defined by the following power series: → can be characterized in a variety of equivalent ways. Définition et propriété définition on appelle fonction exponentielle la fonction réciproque de la fonction logarithme népérien. The exponential curve depends on the exponential function and it depends on the value of the x. La fonction exponentielle est une fonction de référence qu'il faut absolument maîtriser car on la retrouve dans de nombreux domaines et de nombreux chapitres !! Elle étend à l'ensemble des réels la fonction, définie sur l'ensemble des entiers naturels, qui à l'entier n associe a n.c'est donc la version continue d'une suite géométrique. Remarque l'existence d'une telle fonction est admise. On a pu voir précédemment que cette dernière est strictement croissante et strictement positive.

Elle étend à l'ensemble des réels la fonction, définie sur l'ensemble des entiers naturels, qui à l'entier n associe a n.c'est donc la version continue d'une suite géométrique.

On peut vérifier que 𝑓 est bien une densité de probabilité sur [0 ; 𝒇 ( 𝒙 ) = λ 𝒆−λ𝒙 remarque : Définition et propriétés algébriques on considère l'équation différentielle y' = y avec y(0)=1 et on admet qu'elle a au moins une solution f, c'est à dire qu'il existe au moins une fonction f dérivable sur , telle que : B) fonction exponentielle de base. Comme , la fonction exponentielle est strictement croissante. Son unicité est démontrée dans l'exercice. Il se trouve que sa dérivée reste également très simple à mémoriser : Pour tous réels x et y, on a : La fonction exponentielle complexe la fonction exponentielle x → ex est d'une grande importance en analyse r´eelle. + ∞ [ par : → can be characterized in a variety of equivalent ways. On a démontré dans le paragraphe i. Propriété de la fonction exponentielle 1) relation fonctionnelle théorème :

cela signifie que pour tout réel y >0, il existe un et un seul x réel tel que y = exp(x). La valeur du paramètre c c (la base), doit être supérieure à 0 et différente de 1. Tout d'abord en physique, on la trouve dans la radioactivité, puisque la loi de décroissance radioactive est exponenentielle. Propriété de la fonction exponentielle 1) relation fonctionnelle théorème : → can be characterized in a variety of equivalent ways.

Module 6 La Fonction Exponentielle Ppt Video Online Telecharger
Module 6 La Fonction Exponentielle Ppt Video Online Telecharger from slideplayer.fr
Fonction exponentielle i) définition de la fonction exponentielle 1) définition nous avons étudié dans la leçon précédente la fonction : 𝒇 ( 𝒙 ) = λ 𝒆−λ𝒙 remarque : Définition et propriété définition on appelle fonction exponentielle la fonction réciproque de la fonction logarithme népérien. Ii) loi exponentielle 1) définition soit λ un réel strictement positif. Chapitre 8 — la fonction exponentielle 1 notion d'exponentielle théorème il existe une uniquefonction f définie et dérivable sur r, telle que : Propriété de la fonction exponentielle 1) relation fonctionnelle théorème : En fait ici ce sont les formules inverses. = + + + + + since the radius of convergence of this power series is infinite, this definition is, in fact, applicable to all complex numbers z ∈ ℂ (see § complex plane for the extension of ⁡ to the complex plane).

On a démontré dans le paragraphe i.

Son unicité est démontrée dans l'exercice. 1) fonction 𝒙 et nombre. Cette fonction est la fonction exponentielle de base , notée. La fonction exponentielle est probablement parmi les plus simples à manipuler malgré son apparente difficulté. On peut vérifier que 𝑓 est bien une densité de probabilité sur 0 ; La fonction exponentielle de base a est la fonction qui à tout appartenant à r associe. + ∞ en effet : On retrouve aussi cette fonction en électricité. 1) la démonstration du théorème est admise. Ii) loi exponentielle 1) définition soit λ un réel strictement positif. On a pu voir précédemment que cette dernière est strictement croissante et strictement positive. Or, par définition, donc pour tout x,. Tout d'abord en physique, on la trouve dans la radioactivité, puisque la loi de décroissance radioactive est exponenentielle.

La fonction exponentielle réalise une bijection de r sur 0 ; Son unicité est démontrée dans l'exercice. Fonction exponentielle c'est un problème d'équation insolvable qui a conduit les mathématiciens à introduire la fonction exponentielle. Remarque l'existence d'une telle fonction est admise. The exponential curve depends on the exponential function and it depends on the value of the x.

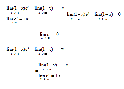
Exponentielle Formule Limite
Exponentielle Formule Limite from www.fichier-pdf.fr
Cette formule permet de transformer une somme en produit et Définition et propriété définition on appelle fonction exponentielle la fonction réciproque de la fonction logarithme népérien. 𝑥 𝑞𝑥 ( à lire avant) il existe une valeur de pour laquelle la fonction : Chapitre 8 — la fonction exponentielle 1 notion d'exponentielle théorème il existe une uniquefonction f définie et dérivable sur r, telle que : → can be characterized in a variety of equivalent ways. Elle étend à l'ensemble des réels la fonction, définie sur l'ensemble des entiers naturels, qui à l'entier n associe a n.c'est donc la version continue d'une suite géométrique. G (x) = k x exp (x) a pour dérivée elle. Remarque l'existence d'une telle fonction est admise.

Que la fonction exponentielle ne s'annule jamais.

Que la fonction exponentielle ne s'annule jamais. Ii) loi exponentielle 1) définition soit λ un réel strictement positif. Leurs courbes représentatives sont symétriques par rapport à la première bissectrice (y =x) La fonction exponentielle est probablement parmi les plus simples à manipuler malgré son apparente difficulté. Chapitre 8 — la fonction exponentielle 1 notion d'exponentielle théorème il existe une uniquefonction f définie et dérivable sur r, telle que : Cette fonction est la fonction exponentielle de base , notée. En fait ici ce sont les formules inverses. La fonction exponentielle de base a est la fonction qui à tout appartenant à r associe. La fonction exponentielle est strictement croissante sur ℝ. La fonction exponentielle réalise une bijection de r sur 0 ; Son unicité est démontrée dans l'exercice. Elle étend à l'ensemble des réels la fonction, définie sur l'ensemble des entiers naturels, qui à l'entier n associe a n.c'est donc la version continue d'une suite géométrique. B) fonction exponentielle de base.